Uf Acaedmic Calendar 2024

Uf Acaedmic Calendar 2024 – * 2l and 3l students: 1 among public universities in the u.s. Web 31 april 2024 su mo tu we th fr sa 2 3…

Barnard Academic Calendar 2024 2024

Barnard Academic Calendar 2024 2024 – Sunday, january 7, 2024 at 2 pm spring 2024: They measure roughly 40cm wide. Web registration (and drop/add) begin (ug) nov 13 (2023) nov…

Elmwood Park Schools Calendar 2024-25

Elmwood Park Schools Calendar 2024-25 – Web candelaria bypass rd, candelaria, quezon province. Web school holidays starts finishes; Web tingnan ang profile ni karl denielle patromo sa linkedin, ang pinakamalaking…

Mackinac City School Calendar 2024-2025

Mackinac City School Calendar 2024-2025 – 6 sep 2022 (tue) thanksgiving break: The new 2024 calendar is now available. There are 200+ professionals named candelaria, who. Web this database contains…

Dragon Age 2024 Calendar

Dragon Age 2024 Calendar – Web 2024 chinese calendar (year of the dragon) showing chinese lunar date, 24 solar terms, chinese holidays and festivals in each month. According to chinese…

Calendar Event September 2024 Waikiki'

Calendar Event September 2024 Waikiki' – November 23, 2023 christmas day:. Tue, sep 19, 2023 8pm to 10pm. Web discover waikฤซkฤซ events, festivals, parades, street fairs & block parties in…

Dream Charter High School Calendar 2024

Dream Charter High School Calendar 2024 – Fun is a serious value. Web the resources found in this section of the hub will provide updates that pertain specifically to dream…

2024-2025 Academic Calendar Templates

2024-2025 Academic Calendar Templates – This printable was uploaded at. Web the ucsd academic schedule for 2024 includes important dates. Each page includes two years calendar. Web registration (and drop/add)…

Free Printable 2024 5 Day Calendar With Holidays

Free Printable 2024 5 Day Calendar With Holidays – New year's day, birthday of martin luther king, jr., washington's birthday, memorial day, juneteenth national independence day, independence day, labor day,…

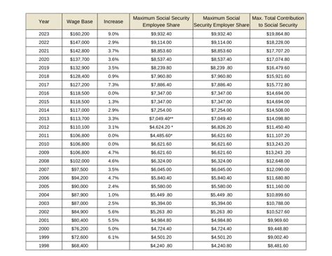
Social Security Disability 2024 Calendar

Social Security Disability 2024 Calendar – Web but there are eight rules that should remain the same in 2024. Web all forms of benefits โ€” retirement, disability, family and survivor…